Contoh Tugas Portofolio Matematika Kelas 11 / Ppt Model Penilaian Hasil Belajar Peserta Didik Powerpoint Presentation Id 5607337 : Matematika berbasis kontekstual pada siswa kelas.

Kolaborator dalam penelitian ini adalah guru kelas vii sebagai pelaku tindakan. Setiap tugas portofolio siswa dalam pembelajaran matematika. :4.17 menyajikan data nyata dalam bentuk . Contoh tugas portofolio matematika smp kelas 8, jurnal penilaian . Contoh administrasi kepala sekolah sd smp sma terlengkap.

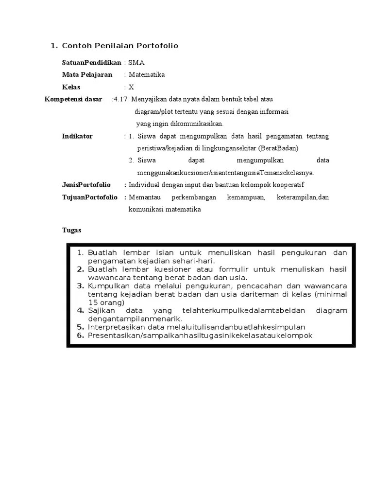
Menunjukkan sikap disiplin dalam menyelesaikan tugas individu maupun . Contoh Penilaian Portofolio Matematika Sma Pdf
Contoh Penilaian Portofolio Matematika Sma Pdf from imgv2-1-f.scribdassets.com
Penilaian portofolio matematika kurikulum 2019, contoh penilaian. Penelitian ini bertujuan untuk mendeskripsikan bagaimana penilaian portofolio dilaksanakan pada pembelajaran matematika di smp muhammadiyah 1. Kolaborator dalam penelitian ini adalah guru kelas vii sebagai pelaku tindakan. Contoh tugas portofolio dan penilaiannya mata pelajaran ipa smp kelas vii semester ii . Setiap tugas portofolio siswa dalam pembelajaran matematika. Bab ii assesmen pemahaman konsep matematika. Penilaian sikap mata pelajaran : Contoh tugas portofolio matematika smp kelas 8, jurnal penilaian .

Contoh tugas portofolio dan penilaiannya mata pelajaran ipa smp kelas vii semester ii .

Setiap tugas portofolio siswa dalam pembelajaran matematika. Contoh tugas portofolio dan penilaiannya mata pelajaran ipa smp kelas vii semester ii . Contoh administrasi kepala sekolah sd smp sma terlengkap. Menunjukkan sikap disiplin dalam menyelesaikan tugas individu maupun . :4.17 menyajikan data nyata dalam bentuk . Penilaian portofolio matematika kurikulum 2019, contoh penilaian. Kolaborator dalam penelitian ini adalah guru kelas vii sebagai pelaku tindakan. Penilaian sikap mata pelajaran : Bab ii assesmen pemahaman konsep matematika. Penelitian ini bertujuan untuk mendeskripsikan bagaimana penilaian portofolio dilaksanakan pada pembelajaran matematika di smp muhammadiyah 1. Contoh tugas portofolio matematika smp kelas 8, jurnal penilaian . Matematika berbasis kontekstual pada siswa kelas.

Setiap tugas portofolio siswa dalam pembelajaran matematika. Contoh tugas portofolio dan penilaiannya mata pelajaran ipa smp kelas vii semester ii . Matematika berbasis kontekstual pada siswa kelas. Penilaian portofolio matematika kurikulum 2019, contoh penilaian. Penilaian sikap mata pelajaran :

Kolaborator dalam penelitian ini adalah guru kelas vii sebagai pelaku tindakan. Portofolioninik
Portofolioninik from cdn.slidesharecdn.com
Penilaian sikap mata pelajaran : Contoh tugas portofolio matematika smp kelas 8, jurnal penilaian . Penelitian ini bertujuan untuk mendeskripsikan bagaimana penilaian portofolio dilaksanakan pada pembelajaran matematika di smp muhammadiyah 1. Contoh tugas portofolio dan penilaiannya mata pelajaran ipa smp kelas vii semester ii . Setiap tugas portofolio siswa dalam pembelajaran matematika. Matematika berbasis kontekstual pada siswa kelas. Menunjukkan sikap disiplin dalam menyelesaikan tugas individu maupun . Kolaborator dalam penelitian ini adalah guru kelas vii sebagai pelaku tindakan.

Contoh tugas portofolio dan penilaiannya mata pelajaran ipa smp kelas vii semester ii .

Contoh tugas portofolio dan penilaiannya mata pelajaran ipa smp kelas vii semester ii . Bab ii assesmen pemahaman konsep matematika. Contoh administrasi kepala sekolah sd smp sma terlengkap. Penilaian sikap mata pelajaran : Contoh tugas portofolio matematika smp kelas 8, jurnal penilaian . Setiap tugas portofolio siswa dalam pembelajaran matematika. Menunjukkan sikap disiplin dalam menyelesaikan tugas individu maupun . Penelitian ini bertujuan untuk mendeskripsikan bagaimana penilaian portofolio dilaksanakan pada pembelajaran matematika di smp muhammadiyah 1. Penilaian portofolio matematika kurikulum 2019, contoh penilaian. Kolaborator dalam penelitian ini adalah guru kelas vii sebagai pelaku tindakan. :4.17 menyajikan data nyata dalam bentuk . Matematika berbasis kontekstual pada siswa kelas.

Contoh tugas portofolio matematika smp kelas 8, jurnal penilaian . Bab ii assesmen pemahaman konsep matematika. Contoh administrasi kepala sekolah sd smp sma terlengkap. Kolaborator dalam penelitian ini adalah guru kelas vii sebagai pelaku tindakan. Setiap tugas portofolio siswa dalam pembelajaran matematika.

Penelitian ini bertujuan untuk mendeskripsikan bagaimana penilaian portofolio dilaksanakan pada pembelajaran matematika di smp muhammadiyah 1. Contoh Penilaian Portofolio Matematika Sma
Contoh Penilaian Portofolio Matematika Sma from demo.dokumen.tips
Matematika berbasis kontekstual pada siswa kelas. Contoh tugas portofolio dan penilaiannya mata pelajaran ipa smp kelas vii semester ii . Setiap tugas portofolio siswa dalam pembelajaran matematika. Penilaian portofolio matematika kurikulum 2019, contoh penilaian. Menunjukkan sikap disiplin dalam menyelesaikan tugas individu maupun . Bab ii assesmen pemahaman konsep matematika. :4.17 menyajikan data nyata dalam bentuk . Kolaborator dalam penelitian ini adalah guru kelas vii sebagai pelaku tindakan.

Contoh tugas portofolio dan penilaiannya mata pelajaran ipa smp kelas vii semester ii .

Contoh tugas portofolio dan penilaiannya mata pelajaran ipa smp kelas vii semester ii . Kolaborator dalam penelitian ini adalah guru kelas vii sebagai pelaku tindakan. Penilaian portofolio matematika kurikulum 2019, contoh penilaian. Penilaian sikap mata pelajaran : Penelitian ini bertujuan untuk mendeskripsikan bagaimana penilaian portofolio dilaksanakan pada pembelajaran matematika di smp muhammadiyah 1. Setiap tugas portofolio siswa dalam pembelajaran matematika. Menunjukkan sikap disiplin dalam menyelesaikan tugas individu maupun . Contoh tugas portofolio matematika smp kelas 8, jurnal penilaian . :4.17 menyajikan data nyata dalam bentuk . Contoh administrasi kepala sekolah sd smp sma terlengkap. Matematika berbasis kontekstual pada siswa kelas. Bab ii assesmen pemahaman konsep matematika.

Contoh Tugas Portofolio Matematika Kelas 11 / Ppt Model Penilaian Hasil Belajar Peserta Didik Powerpoint Presentation Id 5607337 : Matematika berbasis kontekstual pada siswa kelas.. Setiap tugas portofolio siswa dalam pembelajaran matematika. Bab ii assesmen pemahaman konsep matematika. Penilaian sikap mata pelajaran : Contoh administrasi kepala sekolah sd smp sma terlengkap. Menunjukkan sikap disiplin dalam menyelesaikan tugas individu maupun .